library(readr)
library(anytime)
library(ggplot2)
library(dplyr)
library(lubridate)
library(ggridges)
library(fasttime)
library(tidyverse)
library(microbenchmark)Warning message:
"package 'microbenchmark' was built under R version 3.6.3"
Victor Omondi
July 26, 2020
Dates and times are abundant in data and essential for answering questions that start with when, how long, or how often. However, they can be tricky, as they come in a variety of formats and can behave in unintuitive ways. This article teaches you the essentials of parsing, manipulating, and computing with dates and times in R. By the end, we’ll have mastered the lubridate package, a member of the tidyverse, specifically designed to handle dates and times. we’ll also have applied the new skills to explore how often R versions are released, when the weather is good in Auckland (the birthplace of R), and how long monarchs ruled in Britain.
Warning message:
"package 'microbenchmark' was built under R version 3.6.3"
R doesn’t know something is a date or time unless you tell it. We’ll explore some of the ways R stores dates and times by exploring how often R versions are released, and how quickly people download them.
Dates
- Different conventions in different places
- 27th Feb 2013
- NZ: 27/2/2013
- USA: 2/27/2013
The global standard numeric date format
{% fn 1%}
ISO 8601 YYYY-MM-DD
- Values ordered from the largest to smallest unit of time
- Each has a xed number of digits, must be padded with leadingzeros
- Either, no separators for computers, or - in dates
- 1st of January 2011 -> 2011-01-01
Dates in R - Packages that importd ates:
readr,anytime
R doesn’t know something is a date unless you tell it. If you have a character string that represents a date in the ISO 8601 standard you can turn it into a Date using the as.Date() function. Just pass the character string (or a vector of character strings) as the first argument.
We’ll convert a character string representation of a date to a Date object.
chr "2013-04-03"
Date[1:1], format: "2013-04-03"
Sometimes we’ll need to input a couple of dates by hand using as.Date() but it’s much more common to have a column of dates in a data file.
Some functions that read in data will automatically recognize and parse dates in a variety of formats. In particular the import functions, like read_csv(), in the readr package will recognize dates in a few common formats.
There is also the anytime() function in the anytime package whose sole goal is to automatically parse strings as dates regardless of the format.
# Use read_csv() to import rversions.csv
releases <- read_csv('datasets/rversions.csv')
# Examine the structure of the date column
str(releases$date)
# Various ways of writing Sep 10 2009
sep_10_2009 <- c("September 10 2009", "2009-09-10", "10 Sep 2009", "09-10-2009")
# Use anytime() to parse sep_10_2009
anytime(sep_10_2009)Parsed with column specification:
cols(
major = col_double(),
minor = col_double(),
patch = col_double(),
date = col_date(format = ""),
datetime = col_datetime(format = ""),
time = col_time(format = ""),
type = col_character()
)
Date[1:105], format: "1997-12-04" "1997-12-21" "1998-01-10" "1998-03-14" "1998-05-02" ...
[1] "2009-09-10 EAT" "2009-09-10 EAT" "2009-09-10 EAT" "2009-09-10 EAT"
Dates act like numbers
- Date objects are stored as days since 1970-01-01
Plotting with dates

R releases
| major | minor | patch | date | datetime | time | type |
|---|---|---|---|---|---|---|
| 0 | 60 | NA | 1997-12-04 | 1997-12-04 08:47:58 | 08:47:58 | patch |
| 0 | 61 | NA | 1997-12-21 | 1997-12-21 13:09:22 | 13:09:22 | minor |
| 0 | 61 | 1 | 1998-01-10 | 1998-01-10 00:31:55 | 00:31:55 | patch |
| 0 | 61 | 2 | 1998-03-14 | 1998-03-14 19:25:55 | 19:25:55 | patch |
| 0 | 61 | 3 | 1998-05-02 | 1998-05-02 07:58:17 | 07:58:17 | patch |
| 0 | 62 | NA | 1998-06-14 | 1998-06-14 12:56:20 | 12:56:20 | minor |
If you plot a Date on the axis of a plot, you expect the dates to be in calendar order, and that’s exactly what happens with plot() or ggplot().
We’ll make some plots with the R version releases data using ggplot2. There are two big differences when a Date is on an axis:
scale_x_date() function.# Set the x axis to the date column
ggplot(releases, aes(x = date, y = type)) +
geom_line(aes(group = 1, color = factor(major)))
# Limit the axis to between 2010-01-01 and 2014-01-01
ggplot(releases, aes(x = date, y = type)) +
geom_line(aes(group = 1, color = factor(major))) +
xlim(as.Date("2010-01-01"), as.Date("2014-01-01"))
# Specify breaks every ten years and labels with "%Y"
ggplot(releases, aes(x = date, y = type)) +
geom_line(aes(group = 1, color = factor(major))) +
scale_x_date(date_breaks = "10 years", date_labels = "%Y")Warning message:
"Removed 87 row(s) containing missing values (geom_path)."



Since Date objects are internally represented as the number of days since 1970-01-01 we can do basic math and comparisons with dates. We can compare dates with the usual logical operators (<, ==, > etc.), find extremes with min() and max(), and even subtract two dates to find out the time between them.
| major | minor | patch | date | datetime | time | type |
|---|---|---|---|---|---|---|
| 3 | 4 | 1 | 2017-06-30 | 2017-06-30 07:04:11 | 07:04:11 | patch |
Time difference of 1110 days
Sys.date()- in the code, it simply returns today’s date.
ISO 8601
- HH:MM:SS
- Largest unit to smallest
- Fixed digits
- Hours: 00 – 24
- Minutes: 00 – 59
- Seconds: 00 – 60 (60 only for leap seconds)
- No separator or :
Datetimes in R
- Two objects types:
POSIXlt- list with named componentsPOSIXct- seconds since 1970-01-01 00:00:00POSIXctwill go in a data frameas.POSIXct()turns a string into aPOSIXctobject
Timezones
"2013-02-27T18:00:00"-6pm localtime"2013-02-27T18:00:00Z"-6pm UTC"2013-02-27T18:00:00-08:00"-6pmin Oregon
Datetimes behave nicely too
- Once a
POSIXctobject,datetimes can be:- Compared
- Subtracted
- Plotted
Just like dates without times, if you want R to recognize a string as a datetime you need to convert it, although now you use as.POSIXct(). as.POSIXct() expects strings to be in the format YYYY-MM-DD HH:MM:SS.
The only tricky thing is that times will be interpreted in local time based on your machine’s set up. You can check your timezone with Sys.timezone(). If you want the time to be interpreted in a different timezone, you just set the tz argument of as.POSIXct().
[1] "2010-10-01 12:12:00 EAT"
[1] "2010-10-01 12:12:00 PDT"
POSIXct[1:105], format: "1997-12-04 08:47:58" "1997-12-21 13:09:22" "1998-01-10 00:31:55" ...
Just like Date objects, you can plot and do math with POSIXct objects. We’ll see how quickly people download new versions of R, by examining the download logs from the RStudio CRAN mirror. R 3.2.0 was released at “2015-04-16 07:13:33” so cran-logs_2015-04-17.csv contains a random sample of downloads on the 16th, 17th and 18th.
Parsed with column specification:
cols(
datetime = col_datetime(format = ""),
r_version = col_character(),
country = col_character()
)
| datetime | r_version | country |
|---|---|---|
| 2015-04-16 22:40:19 | 3.1.3 | CO |
| 2015-04-16 09:11:04 | 3.1.3 | GB |
| 2015-04-16 17:12:37 | 3.1.3 | DE |
| 2015-04-18 12:34:43 | 3.2.0 | GB |
| 2015-04-16 04:49:18 | 3.1.3 | PE |
| 2015-04-16 06:40:44 | 3.1.3 | TW |
# Store the release time as a POSIXct object
release_time <- as.POSIXct("2015-04-16 07:13:33", tz = "UTC")
# When is the first download of 3.2.0?
logs %>%
filter(datetime==release_time,
r_version == "3.2.0")
# Examine histograms of downloads by version
ggplot(logs, aes(x = datetime)) +
geom_histogram() +
geom_vline(aes(xintercept = as.numeric(release_time)))+
facet_wrap(~ r_version, ncol = 1)| datetime | r_version | country |
|---|
`stat_bin()` using `bins = 30`. Pick better value with `binwidth`.

it takes about two days for downloads of the new version (3.2.0) to overtake downloads of the old version (3.1.3)
lubridate
- Make working with dates and times in R easy!
tidyversepackage- Plays nicely with builtin datetime objects
- Designed for humans not computers
- Plays nicely with other
tidyversepackages- Consistent behaviour regardless of underlying object
Parsing a wide range of formats
[1] "1997-06-15 UTC" "1997-06-15 UTC"
Manipulating datetimes
Parsed with column specification:
cols(
date = col_character(),
max_temp = col_double(),
min_temp = col_double(),
mean_temp = col_double(),
mean_rh = col_double(),
events = col_character(),
cloud_cover = col_double()
)
| date | max_temp | min_temp | mean_temp | mean_rh | events | cloud_cover |
|---|---|---|---|---|---|---|
| 2007-9-1 | 60 | 51 | 56 | 75 | NA | 4 |
| 2007-9-2 | 60 | 53 | 56 | 82 | Rain | 4 |
| 2007-9-3 | 57 | 51 | 54 | 78 | NA | 6 |
| 2007-9-4 | 64 | 50 | 57 | 80 | Rain | 6 |
| 2007-9-5 | 53 | 48 | 50 | 90 | Rain | 7 |
| 2007-9-6 | 57 | 42 | 50 | 69 | NA | 1 |
| date | max_temp | min_temp | mean_temp | mean_rh | events | cloud_cover | year | yday | month |
|---|---|---|---|---|---|---|---|---|---|
| 2007-9-1 | 60 | 51 | 56 | 75 | NA | 4 | 2007 | 244 | Sep |
| 2007-9-2 | 60 | 53 | 56 | 82 | Rain | 4 | 2007 | 245 | Sep |
| 2007-9-3 | 57 | 51 | 54 | 78 | NA | 6 | 2007 | 246 | Sep |
| 2007-9-4 | 64 | 50 | 57 | 80 | Rain | 6 | 2007 | 247 | Sep |
| 2007-9-5 | 53 | 48 | 50 | 90 | Rain | 7 | 2007 | 248 | Sep |
| 2007-9-6 | 57 | 42 | 50 | 69 | NA | 1 | 2007 | 249 | Sep |
Other lubridate features
- Handling timezones
- Fast parsing of standard formats
- Outputting datetimes
Dates and times come in a huge assortment of formats, so the first hurdle is often to parse the format you have into an R datetime. We will explore how to import dates and times with the lubridate package. We’ll also explore how to extract parts of a datetime. We’ll practice by exploring the weather in R’s birthplace, Auckland NZ.
ymd()
- 27th of February 2013
ymd()- year, then month, then day
Friends of ymd()
ymd(),ydm(),mdy(),myd(),dmy(),dym(),dmy_hm()parse_date_time(x = ___, order = ___)
Formatting characters
Character Meaning Character Meaning dnumeric day of the month aAbbreviated weekday mmonth of the year AFull weekday yYear with century bAbbreviated month name Yyear without century Bfull month name Hhours (24 hours) Ihours (12 hour) Mminutes PAM/PM zTimezone, offset
lubridate provides a set of functions for parsing dates of a known order. For example, ymd() will parse dates with year first, followed by month and then day. The parsing is flexible, for example, it will parse the m whether it is numeric (e.g. 9 or 09), a full month name (e.g. September), or an abbreviated month name (e.g. Sep).
All the functions with y, m and d in any order exist. If the dates have times as well, you can use the functions that start with ymd, dmy, mdy or ydm and are followed by any of _h, _hm or _hms.
parse_date_time()What about if you have something in a really weird order like dym_msh?There’s no named function just for that order, but that is where parse_date_time() comes in. parse_date_time() takes an additional argument, orders, where you can specify the order of the components in the date.
For example, to parse "2010 September 20th" you could say parse_date_time("2010 September 20th", orders = "ymd") and that would be equivalent to using the ymd() function from the previous exercise.
One advantage of parse_date_time() is that you can use more format characters. For example, you can specify weekday names with A, I for 12 hour time, am/pm indicators with p and many others. Another big advantage is that you can specify a vector of orders, and that allows parsing of dates where multiple formats might be used.
# Specify an order string to parse x
x <- "Monday June 1st 2010 at 4pm"
parse_date_time(x, orders = "ABdyIp")
# Specify order to include both "mdy" and "dmy"
two_orders <- c("October 7, 2001", "October 13, 2002", "April 13, 2003",
"17 April 2005", "23 April 2017")
parse_date_time(two_orders, orders = c("Bdy", "Bdy", "Bdy", "dBy", "dBy"))
# Specify order to include "dOmY", "OmY" and "Y"
short_dates <- c("11 December 1282", "May 1372", "1253")
parse_date_time(short_dates, orders = c("d0mY", "0mY", "Y"))[1] "2010-06-01 16:00:00 UTC"
[1] "2001-10-07 UTC" "2002-10-13 UTC" "2003-04-13 UTC" "2005-04-17 UTC"
[5] "2017-04-23 UTC"
[1] "1282-12-11 UTC" "1372-05-01 UTC" "1253-01-01 UTC"
when a date component is missing, it’s just set to 1? For example, the input 1253 resulted in the date 1253-01-01.
make_date(year, month, day)
make_datetime(year, month, day, hour, min, sec) for datetimes
dplyr Review
mutate()- add new columns (or overwrite old ones)filter()- subset rowsselect()- subset columnsarrange()- order rowssummarise()- summarise rowsgroup_by()- useful in conjuction withsummarise()
In practice you won’t be parsing isolated dates and times, they’ll be part of a larger dataset. We’ll be working with weather data from Auckland NZ.
There are two data sets: - akl_weather_daily.csv a set of once daily summaries for 10 years, and - akl_weather_hourly_2016.csv observations every half hour for 2016.
Parsed with column specification:
cols(
date = col_character(),
max_temp = col_double(),
min_temp = col_double(),
mean_temp = col_double(),
mean_rh = col_double(),
events = col_character(),
cloud_cover = col_double()
)
| date | max_temp | min_temp | mean_temp | mean_rh | events | cloud_cover |
|---|---|---|---|---|---|---|
| 2007-9-1 | 60 | 51 | 56 | 75 | NA | 4 |
| 2007-9-2 | 60 | 53 | 56 | 82 | Rain | 4 |
| 2007-9-3 | 57 | 51 | 54 | 78 | NA | 6 |
| 2007-9-4 | 64 | 50 | 57 | 80 | Rain | 6 |
| 2007-9-5 | 53 | 48 | 50 | 90 | Rain | 7 |
| 2007-9-6 | 57 | 42 | 50 | 69 | NA | 1 |
| date | max_temp | min_temp | mean_temp | mean_rh | events | cloud_cover |
|---|---|---|---|---|---|---|
| 2007-09-01 | 60 | 51 | 56 | 75 | NA | 4 |
| 2007-09-02 | 60 | 53 | 56 | 82 | Rain | 4 |
| 2007-09-03 | 57 | 51 | 54 | 78 | NA | 6 |
| 2007-09-04 | 64 | 50 | 57 | 80 | Rain | 6 |
| 2007-09-05 | 53 | 48 | 50 | 90 | Rain | 7 |
| 2007-09-06 | 57 | 42 | 50 | 69 | NA | 1 |
Warning message:
"Removed 1 row(s) containing missing values (geom_path)."

The temperatures are in farenheit. Yup, summer falls in Dec-Jan-Feb.
The hourly data is a little different. The date information is spread over three columns year, month and mday, so we’ll need to use make_date() to combine them.
Parsed with column specification:
cols(
year = col_double(),
month = col_double(),
mday = col_double(),
time = col_time(format = ""),
temperature = col_double(),
weather = col_character(),
conditions = col_character(),
events = col_character(),
humidity = col_double(),
date_utc = col_datetime(format = "")
)
| year | month | mday | time | temperature | weather | conditions | events | humidity | date_utc |
|---|---|---|---|---|---|---|---|---|---|
| 2016 | 1 | 1 | 00:00:00 | 68 | Clear | Clear | NA | 68 | 2015-12-31 11:00:00 |
| 2016 | 1 | 1 | 00:30:00 | 68 | Clear | Clear | NA | 68 | 2015-12-31 11:30:00 |
| 2016 | 1 | 1 | 01:00:00 | 68 | Clear | Clear | NA | 73 | 2015-12-31 12:00:00 |
| 2016 | 1 | 1 | 01:30:00 | 68 | Clear | Clear | NA | 68 | 2015-12-31 12:30:00 |
| 2016 | 1 | 1 | 02:00:00 | 68 | Clear | Clear | NA | 68 | 2015-12-31 13:00:00 |
| 2016 | 1 | 1 | 02:30:00 | 68 | Clear | Clear | NA | 68 | 2015-12-31 13:30:00 |
Then the time information is in a separate column again, time. It’s quite common to find date and time split across different variables. One way to construct the datetimes is to paste the date and time together and then parse them.
# Use make_date() to combine year, month and mday
akl_hourly <- akl_hourly_raw %>%
mutate(date = make_date(year = year, month = month, day = mday))
# Parse datetime_string
akl_hourly <- akl_hourly %>%
mutate(
datetime_string = paste(date, time, sep = "T"),
datetime = ymd_hms(datetime_string)
)
# Print date, time and datetime columns of akl_hourly
akl_hourly %>%
select(date, time, datetime) %>%
head()| date | time | datetime |
|---|---|---|
| 2016-01-01 | 00:00:00 | 2016-01-01 00:00:00 |
| 2016-01-01 | 00:30:00 | 2016-01-01 00:30:00 |
| 2016-01-01 | 01:00:00 | 2016-01-01 01:00:00 |
| 2016-01-01 | 01:30:00 | 2016-01-01 01:30:00 |
| 2016-01-01 | 02:00:00 | 2016-01-01 02:00:00 |
| 2016-01-01 | 02:30:00 | 2016-01-01 02:30:00 |
It’s interesting how the day to day variation is about half the size of the yearly variation.
Extracting parts of a datetime
Extracting parts of a datetime
Function Extracts year()Year with century month()Month (1-12) day()Day of month (1-31) hour()Hour (0-23) min()Minute (0-59) second()Second (0-59) wday()Weekday (1-7)
Setting parts of a datetime
Other useful functions
Function Extracts leap_year()In leap year (TRUE or FALSE) am()In morning (TRUE or FALSE) pm()In afternoon (TRUE or FALSE) dst()During daylight savings (TRUE or FALSE) quarter()Quarter of year (1-4) semester()Half of year (1-2)
[1] "1997-12-04 08:47:58 UTC" "1997-12-21 13:09:22 UTC"
[3] "1998-01-10 00:31:55 UTC" "1998-03-14 19:25:55 UTC"
[5] "1998-05-02 07:58:17 UTC" "1998-06-14 12:56:20 UTC"
.
1 2 3 4 5 6 7 8 9 10 11 12
5 6 8 18 5 16 4 7 2 15 6 13
.
1997 1998 1999 2000 2001 2002 2003 2004 2005 2006 2007 2008 2009 2010 2011 2012
2 10 9 6 6 5 5 4 4 4 4 6 5 4 6 4
2013 2014 2015 2016 2017
4 4 5 5 3
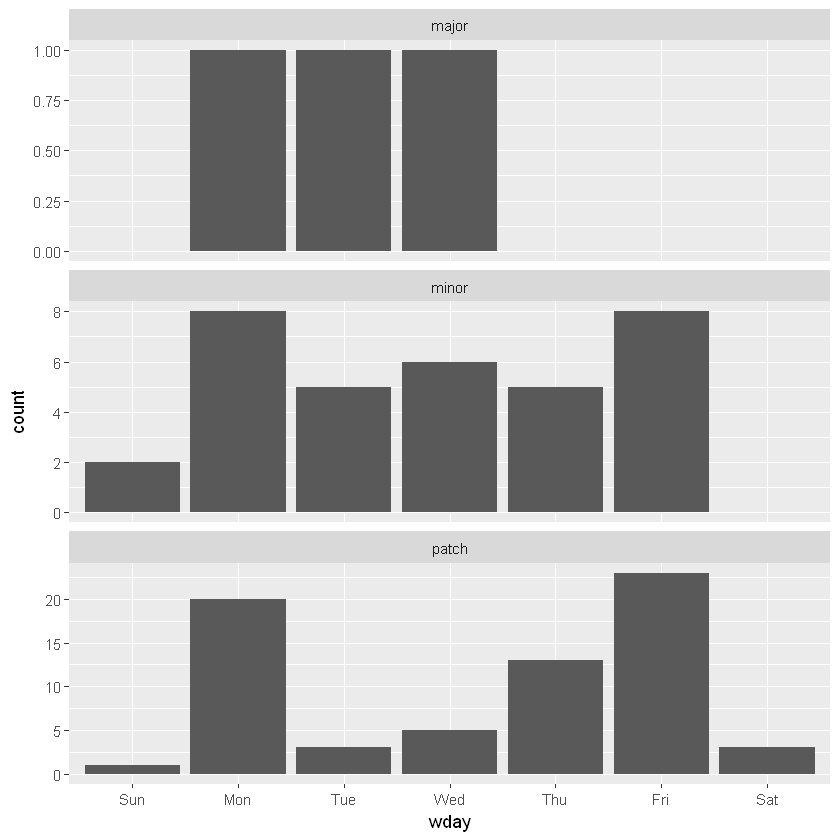
R versions have historically been released most in April, June, October and December, 1998 saw 10 releases and about 75% of releases happen in the morning (at least according to UTC).
Sometimes it’s nicer (especially for plotting or tables) to have named months. Both the month() and wday() (day of the week) functions have additional arguments label and abbr to achieve just that. Set label = TRUE to have the output labelled with month (or weekday) names, and abbr = FALSE for those names to be written in full rather than abbreviated.
.
1 2 3 4 5 6 7
3 29 9 12 18 31 3
.
Sun Mon Tue Wed Thu Fri Sat
3 29 9 12 18 31 3

Looks like not too many releases occur on the weekends, and there is quite a different weekday pattern between minor and patch releases.
Extracting components from a datetime is particularly useful when exploring data. Earlier we imported daily data for weather in Auckland, and created a time series plot of ten years of daily maximum temperature. While that plot gives a good overview of the whole ten years, it’s hard to see the annual pattern.
We’ll use components of the dates to help explore the pattern of maximum temperature over the year. The first step is to create some new columns to hold the extracted pieces, then we’ll use them in a couple of plots.
Warning message:
"Removed 1 row(s) containing missing values (geom_path)."

Warning message:
"Removed 10 rows containing non-finite values (stat_density)."

Both plots give a great view into both the expected temperatures and how much they vary. Looks like Jan, Feb and Mar are great months to visit if you want warm temperatures. Did you notice the warning messages? These are a consequence of some missing values in the max_temp column. They are a reminder to think carefully about what you might miss by ignoring missing values.
Another reason to extract components is to help with filtering observations or creating summaries. For example, if you are only interested in observations made on weekdays (i.e. not on weekends) you could extract the weekdays then filter out weekends, e.g. wday(date) %in% 2:6.
We saw that January, February and March were great times to visit Auckland for warm temperatures, but will you need a raincoat?
We’ll use the hourly data to calculate how many days in each month there was any rain during the day.
# Create new columns hour, month and rainy
akl_hourly <- akl_hourly %>%
mutate(
hour = hour(datetime),
month = month(datetime, label=T),
rainy = weather == "Precipitation"
)
# Filter for hours between 8am and 10pm (inclusive)
akl_day <- akl_hourly %>%
filter(hour>=8, hour<=22)
# Summarise for each date if there is any rain
rainy_days <- akl_day %>%
group_by(month, date) %>%
summarise(
any_rain = any(rainy)
)
# Summarise for each month, the number of days with rain
rainy_days<- rainy_days %>%
summarise(
days_rainy = sum(any_rain)
)
rainy_days`summarise()` regrouping output by 'month' (override with `.groups` argument)
`summarise()` ungrouping output (override with `.groups` argument)
| month | days_rainy |
|---|---|
| Jan | 15 |
| Feb | 13 |
| Mar | 12 |
| Apr | 15 |
| May | 21 |
| Jun | 19 |
| Jul | 22 |
| Aug | 16 |
| Sep | 25 |
| Oct | 20 |
| Nov | 19 |
| Dec | 11 |
At least in 2016, it looks like you’ll still need to pack a raincoat if you visit in Jan, Feb or March. Months of course are different lengths so we should really correct for that, take a look at days_in_month() for helping with that.
Rounding versus extracting
[1] "1997-12-04 08:47:58 UTC" "1997-12-21 13:09:22 UTC"
[3] "1998-01-10 00:31:55 UTC" "1998-03-14 19:25:55 UTC"
[5] "1998-05-02 07:58:17 UTC" "1998-06-14 12:56:20 UTC"
[1] "1997-12-04 08:00:00 UTC" "1997-12-21 13:00:00 UTC"
[3] "1998-01-10 00:00:00 UTC" "1998-03-14 19:00:00 UTC"
[5] "1998-05-02 07:00:00 UTC" "1998-06-14 12:00:00 UTC"
Rounding in lubridate
round_date()- round to nearestceiling_date()- round upfloor_date()- round to down- Possible values of unit:
"second","minute","hour","day","week","month","bimonth","quarter","halfyear", or"year".- Or multiples, e.g
"2 years","5 minutes"
[1] "2016-05-03 UTC"
Time difference of 7.224444 hours
That last technique of subtracting a rounded datetime from an unrounded one is a really useful trick to remember.
When is rounding useful? In a lot of the same situations extracting date components is useful. The advantage of rounding over extracting is that it maintains the context of the unit. For example, extracting the hour gives you the hour the datetime occurred, but you lose the day that hour occurred on (unless you extract that too), on the other hand, rounding to the nearest hour maintains the day, month and year.
We’ll explore how many observations per hour there really are in the hourly Auckland weather data.
| day_hour | n |
|---|---|
| 2016-01-01 00:00:00 | 2 |
| 2016-01-01 01:00:00 | 2 |
| 2016-01-01 02:00:00 | 2 |
| 2016-01-01 03:00:00 | 2 |
| 2016-01-01 04:00:00 | 2 |
| 2016-01-01 05:00:00 | 2 |
| day_hour | n |
|---|---|
| 2016-04-03 02:00:00 | 4 |
| 2016-09-25 00:00:00 | 4 |
| 2016-06-26 09:00:00 | 1 |
| 2016-09-01 23:00:00 | 1 |
| 2016-09-02 01:00:00 | 1 |
| 2016-09-04 11:00:00 | 1 |
Interestingly there are four measurements on 2016-04-03 and 2016-09-25, they happen to be the days Daylight Saving starts and ends.
Getting datetimes into R is just the first step. Now we’ve explored how to parse datetimes, we need to explore how to do calculations with them. Here we’ll learn the different ways of representing spans of time with lubridate and how to leverage them to do arithmetic on datetimes. By the end we’ll have calculated how long it’s been since the first man stepped on the moon, generated sequences of dates to help schedule reminders, calculated when an eclipse occurs, and explored the reigns of monarch’s of England (and which ones might have seen Halley’s comet!).
Arithmetic for datetimes
datetime_1 - datetime2: Subtraction for time elapseddatetime_1 + (2 * timespan): Addition and multiplication for generating new datetimes in the past or futuretimespan1 / timespan2: Division for change of units
Subtraction of datetimes
difftime()
- units =
"secs","mins","hours","days", or"weeks"
now() and today()
To get finer control over a difference between datetimes use the base function difftime(). For example instead of time1 - time2, we can use difftime(time1, time2).
difftime() takes an argument units which specifies the units for the difference. Your options are "secs", "mins", "hours", "days", or "weeks".
We’ll find the time since the first man stepped on the moon.
Time difference of 18622 days
How many seconds are in a day? There are 24 hours in a day, 60 minutes in an hour, and 60 seconds in a minute, so there should be 246060 = 86400 seconds, right?
Not always! We’ll see a counter example.
# Three dates
mar_11 <- ymd_hms("2017-03-11 12:00:00",
tz = "America/Los_Angeles")
mar_12 <- ymd_hms("2017-03-12 12:00:00",
tz = "America/Los_Angeles")
mar_13 <- ymd_hms("2017-03-13 12:00:00",
tz = "America/Los_Angeles")
# Difference between mar_13 and mar_12 in seconds
difftime(mar_13, mar_12, units = "secs")Time difference of 86400 secs
Time difference of 82800 secs
Why would a day only have 82800 seconds? At 2am on Mar 12th 2017, Daylight Savings started in the Pacific timezone. That means a whole hour of seconds gets skipped between noon on the 11th and noon on the 12th.
Time spans in lubridate
period Duration Human concept of a timespan Stopwatch concept of a time span datetime + periodofoneday= same time on the next datedatetime + duration of oneday = datetime + 86400seconds variable length fixed number of seconds
Creating a time span
Arithmetic with time spans
Functions to create time spans
Time span Duration Period Seconds dseconds()seconds()Minutes dminutes()minutes()Hours dhours()hours()Days ddays()days()Weeks dweeks()weeks()Months - months()Years dyears()years()
A common use of time spans is to add or subtract them from a moment in time. For, example to calculate the time one day in the future from mar_11, you could do either of:
But which one is the right one? It depends on your intent. If you want to account for the fact that time units, in this case days, have different lengths (i.e. due to daylight savings), you want a period days(). If you want the time 86400 seconds in the future you use a duration ddays().
We’ll add and subtract timespans from dates and datetimes.
[1] "2018-09-03 14:00:00 UTC"
[1] "2018-08-31 18:00:00 UTC"
Why did subtracting a duration of five years from today, give a different answer to subtracting a period of five years? Periods know about leap years, and since five years ago includes at least one leap year, the period of five years is longer than the duration of 365*5 days.
when dealing with human interpretaions of dates and time you want to use periods.
You can add and subtract timespans to create different length timespans, and even multiply them by numbers. For example, to create a duration of three days and three hours you could do:
or
or even
There was an eclipse over North America on 2017-08-21 at 18:26:40. It’s possible to predict the next eclipse with similar geometry by calculating the time and date one Saros in the future. A Saros is a length of time that corresponds to 223 Synodic months, a Synodic month being the period of the Moon’s phases, a duration of 29 days, 12 hours, 44 minutes and 3 seconds.
[1] "2035-09-02 02:09:49 UTC"
2035 is a long way away for an eclipse, but luckily there are eclipses on different Saros cycles, so you can see one much sooner.
By combining addition and multiplication with sequences you can generate sequences of datetimes. For example, you can generate a sequence of periods from 1 day up to 10 days with,
Then by adding this sequence to a specific datetime, you can construct a sequence of datetimes from 1 day up to 10 days into the future
We had a meeting this morning at 8am and we’d like to have that meeting at the same time and day every two weeks for a year.
[1] "2020-07-21 08:00:00 UTC" "2020-07-28 08:00:00 UTC"
[3] "2020-08-04 08:00:00 UTC" "2020-08-11 08:00:00 UTC"
[5] "2020-08-18 08:00:00 UTC" "2020-08-25 08:00:00 UTC"
[7] "2020-09-01 08:00:00 UTC" "2020-09-08 08:00:00 UTC"
[9] "2020-09-15 08:00:00 UTC" "2020-09-22 08:00:00 UTC"
[11] "2020-09-29 08:00:00 UTC" "2020-10-06 08:00:00 UTC"
[13] "2020-10-13 08:00:00 UTC" "2020-10-20 08:00:00 UTC"
[15] "2020-10-27 08:00:00 UTC" "2020-11-03 08:00:00 UTC"
[17] "2020-11-10 08:00:00 UTC" "2020-11-17 08:00:00 UTC"
[19] "2020-11-24 08:00:00 UTC" "2020-12-01 08:00:00 UTC"
[21] "2020-12-08 08:00:00 UTC" "2020-12-15 08:00:00 UTC"
[23] "2020-12-22 08:00:00 UTC" "2020-12-29 08:00:00 UTC"
[25] "2021-01-05 08:00:00 UTC" "2021-01-12 08:00:00 UTC"
What should ymd(“2018-01-31”) + months(1) return?
In general lubridate returns the same day of the month in the next month, but since the 31st of February doesn’t exist lubridate returns a missing value, NA.
There are alternative addition and subtraction operators: %m+% and %m-% that have different behavior. Rather than returning an NA for a non-existent date, they roll back to the last existing date
use these operators with caution, unlike + and -, you might not get x back from x %m+% months(1) %m-% months(1). If you’d prefer that the date was rolled forward check out add_with_rollback() which has roll_to_first argument.
Creating intervals
datetime1%--%datetime2,orinterval(datetime1, datetime2)
Operating on an interval
Operating on an interval
Comparing intervals
Which kind of time span?
- Use:
- Intervals when you have a start and end
- Periods when you are interested in human units
- Durations if you are interested in seconds elapsed
The current queen, Elizabeth II, has ruled for 2070144000 seconds…we’ll see a better way to display the length later. If you know your British monarchs, you might notice George III doesn’t appear in the the top 5. In this data, his reign is spread over two rows for U.K. And Great Britain and you would need to add their lengths to see his total reign.
A common task with intervals is to ask if a certain time is inside the interval or whether it overlaps with another interval.
The operator %within% tests if the datetime (or interval) on the left hand side is within the interval of the right hand side. For example, if y2001 is the interval covering the year 2001,
int_overlaps() performs a similar test, but will return true if two intervals overlap at all.
# Print halleys
halleys
# New column for interval from start to end date
halleys <- halleys %>%
mutate(visible = interval(start_date, end_date))
# The visitation of 1066
halleys_1066 <- halleys[14, ]
# Monarchs in power on perihelion date
monarchs %>%
filter(halleys_1066$perihelion_date %within%reign) %>%
select(name, from, to, dominion)
# Monarchs whose reign overlaps visible time
monarchs %>%
filter(int_overlaps(halleys_1066$visible,reign)) %>%
select(name, from, to, dominion)Looks like the Kings of England Edward the Confessor and Harold II would have been able to see the comet. It may have been a bad omen, neither were in power by 1067.
Intervals are the most specific way to represent a span of time since they retain information about the exact start and end moments. They can be converted to periods and durations exactly: it’s possible to calculate both the exact number of seconds elapsed between the start and end date, as well as the perceived change in clock time
You now know most of what you need to tackle data that includes dates and times, but there are a few other problems we might encounter. We’ll explore a little more about these problems by returning to some of the earlier data sets and explore how to handle time zones, deal with times when you don’t care about dates, parse dates quickly, and output dates and times.
IANA Timezones
Setting and extracting
Manipulating timezones
force_tz()- change thetimezone without changing the clock timewith_tz()- view the sameinstant in a different timezone
If you import a datetime and it has the wrong timezone, you can set it with force_tz(). Pass in the datetime as the first argument and the appropriate timezone to the tzone argument. Remember the timezone needs to be one from OlsonNames().
I wanted to watch New Zealand in the Women’s World Cup Soccer games in 2015, but the times listed on the FIFA website were all in times local to the venues. We’ll set the timezones, then figure out what time I needed to tune in to watch them.
[1] "2015-06-11 19:00:00 MDT"
[1] "2015-06-15 18:30:00 CDT"
Edmonton and Winnipeg are in different timezones, so even though the start times of the games only look 30 minutes apart, they are in fact 1 hour and 30 minutes apart, and the team only has 3 days, 22 hours and 30 minutes to prepare.
To view a datetime in another timezone use with_tz(). The syntax of with_tz() is the same as force_tz(), passing a datetime and set the tzone argument to the desired timezone. Unlike force_tz(), with_tz() isn’t changing the underlying moment of time, just how it is displayed.
[1] "2015-06-12 13:00:00 NZST"
[1] "2015-06-11 18:00:00 PDT"
| year | month | mday | time | temperature | weather | conditions | events | humidity | date_utc | date | datetime_string | datetime | hour | rainy | day_hour |
|---|---|---|---|---|---|---|---|---|---|---|---|---|---|---|---|
| 2016 | Jan | 1 | 00:00:00 | 68 | Clear | Clear | NA | 68 | 2015-12-31 11:00:00 | 2016-01-01 | 2016-01-01T00:00:00 | 2016-01-01 00:00:00 | 0 | FALSE | 2016-01-01 00:00:00 |
| 2016 | Jan | 1 | 00:30:00 | 68 | Clear | Clear | NA | 68 | 2015-12-31 11:30:00 | 2016-01-01 | 2016-01-01T00:30:00 | 2016-01-01 00:30:00 | 0 | FALSE | 2016-01-01 00:00:00 |
| 2016 | Jan | 1 | 01:00:00 | 68 | Clear | Clear | NA | 73 | 2015-12-31 12:00:00 | 2016-01-01 | 2016-01-01T01:00:00 | 2016-01-01 01:00:00 | 1 | FALSE | 2016-01-01 01:00:00 |
| 2016 | Jan | 1 | 01:30:00 | 68 | Clear | Clear | NA | 68 | 2015-12-31 12:30:00 | 2016-01-01 | 2016-01-01T01:30:00 | 2016-01-01 01:30:00 | 1 | FALSE | 2016-01-01 01:00:00 |
| 2016 | Jan | 1 | 02:00:00 | 68 | Clear | Clear | NA | 68 | 2015-12-31 13:00:00 | 2016-01-01 | 2016-01-01T02:00:00 | 2016-01-01 02:00:00 | 2 | FALSE | 2016-01-01 02:00:00 |
| 2016 | Jan | 1 | 02:30:00 | 68 | Clear | Clear | NA | 68 | 2015-12-31 13:30:00 | 2016-01-01 | 2016-01-01T02:30:00 | 2016-01-01 02:30:00 | 2 | FALSE | 2016-01-01 02:00:00 |
The datetime column we created represented local time in Auckland, NZ. I suspect this additional column, date_utc represents the observation time in UTC (the name seems a big clue). But does it really?
[1] "2016-01-01 00:00:00 UTC" "2016-01-01 00:30:00 UTC"
[3] "2016-01-01 01:00:00 UTC" "2016-01-01 01:30:00 UTC"
[5] "2016-01-01 02:00:00 UTC" "2016-01-01 02:30:00 UTC"
[1] "2015-12-31 11:00:00 UTC" "2015-12-31 11:30:00 UTC"
[3] "2015-12-31 12:00:00 UTC" "2015-12-31 12:30:00 UTC"
[5] "2015-12-31 13:00:00 UTC" "2015-12-31 13:30:00 UTC"
[1] "2016-01-01 00:00:00 NZDT" "2016-01-01 00:30:00 NZDT"
[3] "2016-01-01 01:00:00 NZDT" "2016-01-01 01:30:00 NZDT"
[5] "2016-01-01 02:00:00 NZDT" "2016-01-01 02:30:00 NZDT"
-82800 0 3600
2 17450 2
Looks like for 17,450 rows datetime and date_utc describe the same moment, but for 4 rows they are different. Can you guess which? Yup, the times where DST kicks in.
'hms' num [1:17454] 00:00:00 00:30:00 01:00:00 01:30:00 ...
- attr(*, "units")= chr "secs"
00:00:00
00:30:00
01:00:00
01:30:00
02:00:00
02:30:00

Using time without date is a great way to examine daily patterns.
Fast parsing
parse_date_time()can be slow because it’s designed to be forgiving and flexible.
fast_strptime()
Exporting datetimes
Formatting datetimes
Multiple formats matched: "%A %B %d %Y"(1), "Sunday %Om %d %Y"(1), "Sunday %B %d %Y"(1), "%A %Om %d %Y"(0)
Using: "%A %B %d %Y"
function (x, locale = "English_United States.1252")
{
{
old_lc_time <- Sys.getlocale("LC_TIME")
if (old_lc_time != locale) {
on.exit(Sys.setlocale("LC_TIME", old_lc_time))
Sys.setlocale("LC_TIME", locale)
}
}
format(x, format = "%A %B %d %Y")
}
The fasttime package provides a single function fastPOSIXct(), designed to read in datetimes formatted according to ISO 8601. Because it only reads in one format, and doesn’t have to guess a format, it is really fast!
We’ll see how fast by comparing how fast it reads in the dates from the Auckland hourly weather data (over 17,000 dates) to lubridates ymd_hms().
chr [1:17454] "2016-01-01T00:00:00" "2016-01-01T00:30:00" ...
POSIXct[1:17454], format: "2016-01-01 03:00:00" "2016-01-01 03:30:00" "2016-01-01 04:00:00" ...
| expr | time |
|---|---|
| fasttime | 2455100 |
| ymd_hms | 30602000 |
| fasttime | 2577700 |
| ymd_hms | 31090200 |
| fasttime | 2762600 |
| fasttime | 2779400 |
| fasttime | 2796400 |
| fasttime | 2786900 |
| ymd_hms | 35160800 |
| fasttime | 2590900 |
| ymd_hms | 32037000 |
| ymd_hms | 31251200 |
| ymd_hms | 32154400 |
| fasttime | 2638200 |
| ymd_hms | 32626700 |
| ymd_hms | 31518000 |
| fasttime | 2517700 |
| ymd_hms | 32616500 |
| fasttime | 2396500 |
| ymd_hms | 33101100 |
| fasttime | 2503900 |
| fasttime | 2429800 |
| ymd_hms | 38136000 |
| ymd_hms | 28758100 |
| fasttime | 2131100 |
| ymd_hms | 26896600 |
| fasttime | 2219700 |
| ymd_hms | 26722900 |
| ymd_hms | 26774200 |
| ymd_hms | 28291400 |
| ymd_hms | 35462800 |
| ymd_hms | 35749400 |
| fasttime | 2591500 |
| fasttime | 2532400 |
| ymd_hms | 32089700 |
| fasttime | 2776700 |
| fasttime | 2697700 |
| fasttime | 2550500 |
| ymd_hms | 33218200 |
| fasttime | 2475800 |
fasttime is about 20 times faster than ymd_hms().
lubridate provides its own fast datetime parser: fast_strptime(). Instead of taking an order argument like parse_date_time() it takes a format argument and the format must comply with the strptime() style.
POSIXlt[1:17454], format: "2016-01-01 00:00:00" "2016-01-01 00:30:00" "2016-01-01 01:00:00" ...
| expr | time |
|---|---|
| ymd_hms | 42620600 |
| ymd_hms | 46698300 |
| fast_strptime | 3006900 |
| ymd_hms | 29005100 |
| ymd_hms | 28695300 |
| fasttime | 2406000 |
| fasttime | 2340100 |
| fasttime | 2312100 |
| fasttime | 2310500 |
| ymd_hms | 31183400 |
| fast_strptime | 3118800 |
| fasttime | 2325100 |
| ymd_hms | 29844300 |
| fast_strptime | 3363600 |
| fast_strptime | 3071200 |
| ymd_hms | 30061000 |
| fasttime | 2251400 |
| ymd_hms | 36800700 |
| fast_strptime | 3555000 |
| ymd_hms | 34068400 |
| fasttime | 2512300 |
| fast_strptime | 3111700 |
| fast_strptime | 3095400 |
| fasttime | 2264900 |
| fast_strptime | 3090500 |
| ymd_hms | 36769000 |
| ymd_hms | 27374000 |
| fast_strptime | 2777400 |
| ymd_hms | 27985100 |
| fasttime | 2200400 |
| fasttime | 1994100 |
| fast_strptime | 2602500 |
| fast_strptime | 2617500 |
| ymd_hms | 26029600 |
| ymd_hms | 26985200 |
| fast_strptime | 3005900 |
| fasttime | 2201400 |
| fasttime | 2131400 |
| ymd_hms | 29039200 |
| fasttime | 2134500 |
| fasttime | 2064700 |
| fast_strptime | 2821100 |
| fasttime | 2143200 |
| fasttime | 2044300 |
| ymd_hms | 29941500 |
| fast_strptime | 3029800 |
| ymd_hms | 41443300 |
| fasttime | 2978200 |
| fasttime | 3032300 |
| fast_strptime | 4292500 |
| fast_strptime | 3543800 |
| ymd_hms | 35316000 |
| ymd_hms | 37035500 |
| fast_strptime | 3009300 |
| ymd_hms | 27633800 |
| fasttime | 2117500 |
| fast_strptime | 2832600 |
| fasttime | 2035900 |
| fast_strptime | 2714100 |
| fast_strptime | 2799400 |
An easy way to output dates is to use the stamp() function in lubridate. stamp() takes a string which should be an example of how the date should be formatted, and returns a function that can be used to format dates.
Multiple formats matched: "%A, %b %d, %Y"(1), "Saturday, Jan %Om, %Y"(1), "Saturday, %Om %d, %Y"(1), "Saturday, %b %d, %Y"(1), "Saturday, Jan %m, %Y"(1), "%A, Jan %Om, %Y"(0), "%A, %Om %d, %Y"(0), "%A, Jan %m, %Y"(0)
Using: "%A, %b %d, %Y"
function (x, locale = "English_United States.1252")
{
{
old_lc_time <- Sys.getlocale("LC_TIME")
if (old_lc_time != locale) {
on.exit(Sys.setlocale("LC_TIME", old_lc_time))
Sys.setlocale("LC_TIME", locale)
}
}
format(x, format = "%A, %b %d, %Y")
}
Multiple formats matched: "%Om/%d/%Y"(1), "%m/%d/%Y"(1)
Using: "%Om/%d/%Y"
Multiple formats matched: "I finished 'Dates and Times in R' on %A, %B %d, %Y!"(1), "I finished 'Dates and Times in R' on Thursday, September %Om, %Y!"(1), "I finished 'Dates and Times in R' on Thursday, %Om %d, %Y!"(1), "I finished 'Dates and Times in R' on Thursday, %B %d, %Y!"(1), "I finished 'Dates and Times in R' on Thursday, September %m, %Y!"(1), "I finished 'Dates and Times in R' on %A, September %Om, %Y!"(0), "I finished 'Dates and Times in R' on %A, %Om %d, %Y!"(0), "I finished 'Dates and Times in R' on %A, September %m, %Y!"(0)
Using: "I finished 'Dates and Times in R' on %A, %B %d, %Y!"
{{‘source: https://xkcd.com/1179’ | fndetail: 1}} {{‘Source: Monarchs of England’ | fndetail: 2 }} {{‘Source: Halley’s cometHalley’scomet:’ | fndetail: 3 }}